阅读文章

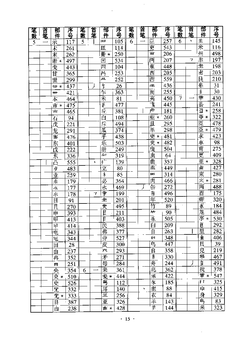
《信息处理用GB13000.1字符集汉字部件规范》文本扫描件

[日期:2013-05-01] 来源:语言文字网  作者:佚名 [字体: ]

《信息处理用GB13000.1字符集汉字部件规范》文本扫描件



上一页 [1] [..16] [17] [18] 下一页   


阅读:
录入:湘里伢子

语网特别申明:各专栏专辑作者文责自负,对自己的作品享有完整版权,在语网的发布不影响其再版权,即作者还可另行投稿或出版。任何人均可在本站发布或转载文章,但这并不意味着本站赞同其观点或证实其内容的真实性,如涉及版权等问题,请作者来函联系。

评论 】 【 推荐 】 【 打印
上一篇:楷体字和宋体字笔画上的一些细微区别

下一篇:谷歌推广东话输入法 引起南北语言大战
相关文章       汉字构件字符集  汉字零件 
发表评论


点评:
 
字数(限500字,建议200字以内):
姓名:

  • 尊重网上道德,遵守中华人民共和国的有关法律法规
  • 承担一切因您的行为而导致的民事或刑事法律责任
  • 本站管理人员有权保留或删除其管辖留言中的任意内容
  • 本站有权在网站内转载或引用您的评论
  • 参与本评论即表明您已经阅读并接受上述条款
站内查询



 
最新文章